[금융상식] 주가배수모형
주가배수모형: 주식 분석의 핵심 도구
![[금융상식] 주식배수모형](https://blog.kakaocdn.net/dna/zYkle/btsM0L214lJ/AAAAAAAAAAAAAAAAAAAAAI4dYv-eOPQ3Ny49CSiPbn7aX3ZSamntS6EWnoSoCxhW/img.jpg?credential=yqXZFxpELC7KVnFOS48ylbz2pIh7yKj8&expires=1767193199&allow_ip=&allow_referer=&signature=uInE6iv9nAoLuMdYR2ZiAeOM%2BDg%3D)
서론
주식 투자에서 주가를 평가하는 방법은 매우 다양합니다. 그중 하나가 **주가배수모형(P/E Ratio, Price-to-Earnings Ratio)**으로, 이는 주식의 가치를 평가하는 데 널리 사용되는 지표 중 하나입니다. 주가는 다양한 외부 요인에 의해 영향을 받지만, 주가배수는 기업의 이익 수준과 주가 간의 관계를 명확하게 보여주는 중요한 척도입니다. 투자자들이 주식의 적정 가치를 판단할 때 이 지표를 어떻게 활용할 수 있는지에 대해 알아보겠습니다.
이 글에서는 주가배수모형의 정의, 계산 방법, 그리고 이를 주식 평가에 어떻게 적용할 수 있는지에 대해 설명하고, 주가배수가 투자에서 어떤 의미를 가지는지 심층적으로 다뤄보겠습니다.
1. 주가배수모형(P/E Ratio)의 정의
**주가배수(P/E Ratio)**는 주식의 시장 가격을 기업의 **주당 순이익(Earnings per Share, EPS)**으로 나눈 값입니다. 간단히 말해, 주식이 기업의 이익에 비해 얼마나 고평가되었는지 혹은 저평가되었는지를 나타내는 지표입니다. P/E 비율은 기업의 수익성에 비례하여 주가가 어느 정도 수준인지를 평가하는 데 사용됩니다.
1.1. 주가배수(P/E Ratio)의 계산
주가배수(P/E Ratio)는 다음과 같은 공식으로 계산됩니다:
P/E=주가주당순이익(EPS)P/E = \frac{주가}{주당 순이익 (EPS)}
예를 들어, 기업의 주가가 100,000원이고 주당 순이익(EPS)이 5,000원이라면, 주가배수는 20이 됩니다. 이 경우, 투자자는 기업의 이익 1원당 20원을 지불하고 있다는 의미입니다.
주가배수는 기업의 가치 평가에서 매우 중요한 역할을 하며, 기업이 창출하는 이익에 대한 시장의 평가를 나타냅니다. 높은 P/E 비율은 시장이 기업의 성장 가능성을 높게 평가하고 있다는 것을 의미하며, 낮은 P/E 비율은 그 반대를 나타냅니다.
1.2. 주가배수(P/E Ratio)의 해석
- 높은 P/E 비율: 시장에서 기업의 미래 성장 가능성을 높게 보고 있다는 의미입니다. 이 경우, 주식은 고평가될 수 있습니다. 특히, 고성장 산업에 속한 기업들이 높은 P/E 비율을 기록하는 경향이 있습니다.
- 낮은 P/E 비율: 기업이 시장에서 저평가되고 있을 가능성이 있습니다. 낮은 P/E 비율은 해당 기업이 성장성이 낮다고 판단되거나, 현재 문제가 있는 기업일 수 있음을 시사할 수 있습니다.
P/E 비율을 해석할 때는 동종 업계나 과거의 평균 P/E와 비교하는 것이 중요합니다. 같은 산업군 내에서 P/E 비율이 지나치게 높거나 낮을 경우, 이는 해당 기업의 성장성 또는 안정성에 대한 시장의 의견을 반영한 결과일 수 있습니다.
2. 주가배수모형의 종류
주가배수모형에는 여러 가지 유형이 있습니다. 여기서는 가장 일반적인 실적 기반 P/E, 선행 P/E, 예상 P/E에 대해 살펴보겠습니다.
2.1. 실적 기반 P/E (Trailing P/E)
실적 기반 P/E는 과거 12개월 동안의 실제 순이익을 기준으로 계산된 주가배수입니다. 과거 실적을 기준으로 하기 때문에 확정된 수치를 바탕으로 계산되며, 일반적으로 안정적인 기업의 평가에 적합합니다. 하지만 과거 실적이 반드시 미래를 예측하는 데 정확하지 않을 수 있기 때문에 미래 성장 가능성을 평가하는 데에는 한계가 있을 수 있습니다.
2.2. 선행 P/E (Forward P/E)
선행 P/E는 기업의 예상 순이익을 기준으로 계산된 주가배수입니다. 보통 향후 12개월 동안 예상되는 순이익을 바탕으로 주가배수를 계산합니다. 이 방법은 미래 성장 가능성을 반영할 수 있기 때문에 성장주나 투자자의 기대를 반영하는 평가에 적합합니다. 그러나 예상되는 순이익이 정확하지 않거나 예상이 잘못될 경우, 선행 P/E는 비효율적인 지표가 될 수 있습니다.
2.3. 예상 P/E (Estimated P/E)
예상 P/E는 기업이 발표한 미래의 예상 순이익을 기준으로 한 주가배수입니다. 이는 선행 P/E와 유사하지만, 기업이 자체적으로 예상하는 실적을 바탕으로 한 계산입니다. 예상 P/E 역시 미래 예측에 의존하므로, 예측이 정확하지 않거나 과도하게 낙관적일 경우, 실제 P/E와의 차이가 발생할 수 있습니다.
3. 주가배수모형의 장단점
주가배수모형(P/E Ratio)은 주식 평가에서 매우 유용한 도구지만, 그 사용에는 한계도 존재합니다. 여기서는 주가배수모형의 장점과 단점을 비교하여 설명하겠습니다.
3.1. 주가배수모형의 장점
- 간단한 계산법: P/E 비율은 주가를 주당 순이익으로 나누기만 하면 되기 때문에 계산이 매우 간단하고 직관적입니다.
- 시장 평가 반영: P/E 비율은 기업의 시장 평가를 직접 반영하므로, 투자자들이 그 기업의 미래 성장 가능성을 어떻게 보고 있는지 알 수 있습니다.
- 비교 가능성: 같은 산업군에 속한 기업들끼리 P/E 비율을 비교하여 상대적인 기업 가치를 평가할 수 있습니다.
3.2. 주가배수모형의 단점
- 이익의 변동성: 주가배수는 **주당 순이익(EPS)**을 기준으로 하므로, EPS가 변동성이 큰 기업의 경우 P/E 비율이 왜곡될 수 있습니다. 예를 들어, 경기 불황이나 일시적인 비용 증가로 인해 순이익이 급격히 하락할 경우 P/E 비율이 높아지거나 낮아질 수 있습니다.
- 성장성과 무관: P/E 비율은 기업의 미래 성장성을 반영하지 않기 때문에, 고성장 기업이나 기술주 등에 대해서는 적절한 평가를 내리기 어려운 경우가 많습니다.
- 이익 조작 가능성: 기업이 회계 기준을 변경하거나 이익을 조작하여 주당 순이익을 조정할 수 있기 때문에, P/E 비율만을 기반으로 기업의 가치를 평가하는 데에는 한계가 있습니다.
4. 주가배수모형을 활용한 주식 투자 전략
주가배수모형은 주식 투자의 중요한 도구로 활용되지만, 이를 단독으로 사용하기보다는 다른 지표들과 함께 사용하여 보다 정확한 분석을 해야 합니다. 주식 투자에서 주가배수를 활용하는 방법을 살펴보겠습니다.
4.1. 상대적인 평가 방법
주가배수는 동종 업계나 과거 P/E 비율과 비교하여 상대적으로 기업의 가치를 평가하는 데 유용합니다. 예를 들어, A 기업의 P/E 비율이 15이고, 같은 업종 내 다른 기업들의 평균 P/E 비율이 20이라면, A 기업은 상대적으로 저평가된 기업으로 볼 수 있습니다.
4.2. 성장주 평가
고성장주는 일반적으로 P/E 비율이 높습니다. 그러나 이 경우 P/E 비율이 높다고 해서 반드시 주식이 과대평가된 것은 아닙니다. 성장이 빠른 기업은 높은 미래 이익을 예상할 수 있기 때문에, 선행 P/E를 사용해 성장 잠재력을 평가하는 것이 중요합니다.
4.3. 가치주 평가
가치주는 P/E 비율이 낮은 주식으로, 기업의 현재 주가가 저평가되었을 가능성이 있는 주식입니다. 이 경우, P/E 비율이 낮다는 이유만으로 주식을 구매하기보다는, 기업의 펀더멘털과 산업 전망을 함께 고려하는 것이 좋습니다.
5. 다른 주가배수 지표: PER, PBR, PSR
주가배수모형 외에도 다양한 지표들이 주식 가치를 평가하는 데 사용됩니다. 대표적으로 P/E Ratio 외에도 PBR (Price-to-Book Ratio), PSR (Price-to-Sales Ratio) 등이 있습니다.
5.1. PBR (Price-to-Book Ratio)
PBR은 주가를 주당 장부가치로 나눈 값으로, 기업의 자산 가치를 바탕으로 주가가 얼마나 고평가되었는지 또는 저평가되었는지를 평가하는 지표입니다. PBR은 주로 자산이 중요한 기업에서 사용됩니다. PBR이 1보다 낮다면, 주식이 자산에 비해 저평가된 것으로 해석될 수 있습니다.
PBR= 주가 / 주당장부가치
5.2. PSR (Price-to-Sales Ratio)
PSR은 주가를 주당 매출액으로 나눈 값으로, 기업이 창출하는 매출에 비해 주가가 얼마나 평가되고 있는지를 나타내는 지표입니다. 이 지표는 이익을 내지 못하는 기업에도 사용할 수 있어, 성장 기업이나 신규 기업을 평가할 때 유용합니다.
PSR=주가/주당매출액
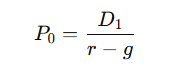
고든의 성장모형(Gordon Growth Model, GGM)
고든의 성장모형은 주식의 내재가치를 계산하는 모델로, 주식의 현재 가격이 미래의 배당금 흐름에 의해 결정된다는 가정 하에 작동합니다. 이 모형은 특히 배당금을 지급하는 기업에 대해 유용하게 적용됩니다.
고든의 성장모형의 기본 공식은 다음과 같습니다:


이 모형은 미래의 배당금이 일정한 비율로 성장한다고 가정하고, 이를 바탕으로 현재 주식 가격을 도출합니다. 고든의 성장모형은 주로 성장률과 배당금을 중요하게 다루며, 배당금 지급 기업에 적합합니다.
결론
주가배수모형(P/E Ratio)은 주식 평가에서 중요한 도구이지만, 그 자체로 모든 것을 설명할 수는 없습니다. 이를 활용할 때는 다른 재무 지표들과 함께 사용하고, 기업의 미래 성장성과 산업 상황을 고려하는 것이 필수적입니다. 주가배수는 특히 기업의 시장 평가를 파악하는 데 유용하며, 상대적 평가를 통해 기업의 가치를 비교하는 데 중요한 역할을 합니다.
이 글을 통해 주가배수모형에 대한 기본 개념부터 고급 활용법까지 알아보았습니다. 주식 분석의 기초를 다지고, 이를 통해 더 나은 투자 결정을 내릴 수 있는 능력을 키우시길 바랍니다.